Datei:Kolb und der Drache Schema.png | ElderScrollsPortal.de

Datei:Kolb und der Drache Schema.png

Version vom 19. Juli 2015, 14:37 Uhr von Killfetzer (Diskussion | Beiträge)
(Unterschied) ← Nächstältere Version | Aktuelle Version ansehen (Unterschied) | Nächstjüngere Version → (Unterschied)

Originaldatei (790 × 648 Pixel, Dateigröße: 21 KB, MIME-Typ: image/png)

Beschreibung

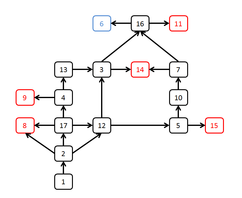
Schema aller möglichen Geschichten im Buch Quelle:Kolb und der Drache

Rote Felder zeigen ein Ende, bei dem Kolb stirbt. Das blaue Feld zeigt das Ende, bei dem der Drache getötet wird.

Lizenz

Diese Datei wurde unter den Bedingungen der „Creative Commons Namensnennung“-Lizenz (abgekürzt „cc-by“) in der Version 2.5 veröffentlicht.

Dateiversionen

Klicke auf einen Zeitpunkt, um diese Version zu laden.

Version vomVorschaubildMaßeBenutzerKommentar
aktuell14:35, 19. Jul. 2015Vorschaubild der Version vom 14:35, 19. Jul. 2015790 × 648 (21 KB)Killfetzer (Diskussion | Beiträge)Schema aller möglichen Geschichten im Buch ''Quelle:Kolb und der Drache''

Die folgende Seite verwendet diese Datei:

Metadaten