| Kolb und der Drache | |
|---|---|
| Autor | unbekannt |
| Art | Buch |
| Genre | Kinderbuch |
Das Kolb und der Drache ist ein Kinderbuch von einem unbekannten Autor. Das Besondere an diesem Buch, dass der Leser am Ende jedes Abschnitts eine Entscheidung zu treffen hat, und an der entsprechenden Stelle weiterlesen soll. Somit erzählt das Buch je nach den Entscheidungen des Lesers unterschiedliche Geschichten.

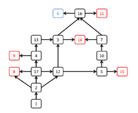
Dieses Buch handelt von dem Nordheld Kolb, der auszieht um einen Drachen zu töten. Der Leser hat die Wahl verschiedene Wege zur Drachenhöhle zu nehmen. Dabei trifft er auf unterschiedliche Gegner und Gefahren auf dem Weg. Das Buch hat insgesamt sechs verschiedene Enden, wobei nur in einem Kolb den Drachen besiegen kann. In allen anderen Enden stirbt Kolb.
Die kürzeste mögliche Geschichte besteht aus nur drei Abschnitten. Die beiden längsten möglichen Geschichten bestehen jeweils aus acht Abschnitten. Die kürzeste Geschichte, die mit dem Tod des Drachens endet, besteht aus sechs Abschnitten.