Der Naturwissenschaftsthread

Durch Umstellen und Logarithmenregeln:

0 = e^x - 2 e^(-2x)
2 e^(-2x) = e^x
ln(2 e^(-2x)) = ln(e^x)
ln(2) + ln(e^(-2x)) = x
ln(2) - 2x = x
ln(2) = 3x
x = ln(2)/3

Was dann übrigens den 0,231 von Schmelz entspricht.
 
Okay vielen vielen Dank.
Dann ist wohl das Lösungbuch falsch, da steht nämlich x=ln(4)/2 😵
 
Eine Frage zu Mathe:

Uran hat eine Halbwertszeit von 4500000000 Jahren, wie viel Prozent sind nach 1000 Jahren noch übrig?

e ist die eulerische zahl, t die zeit, und k die zerfallskonstante
Die Formel lautet:
f(t)=fo*e hoch k* t

f(1000)=100*e hoch -1,540327068 hoch -10 * 1000

Ich hab alles rechts von der Formel komm aber auf kein logisches Ergebnis
Was mach ich falsch?
 
Klammer vergessen? Also -> f(1000)=100*e hoch (-1,540327068 * 10 hoch -10 * 1000)

Ich komme mit deinen Werten auf 99.9999846% was ich für durchaus realistisch halte.
 
Die -10 soll doch eine zehner-potenz sein, oder nicht? Ansonten würdest du die -1,540327068 selbst mit -10 potenzieren, was wphl kaum der sinn der Sache ist...
 
Stimmt, Danke nochmal
Gibt es eigendlich auch eine "bessere" Formel mit der man ausrechnen kann, wann man ein Gebiet nach einem Atombombenabwurf wieder betreten kann? Wir haben mit der oben genannten gerechnet aber ein teil des nuklearen Fallouts verteilt sich doch auch in der Atmosphäre. Und ich hab mal gelesen das man 2 Wochen nach einem Atombombenabwurf den Bunker kurz wieder Verlassen kann 😀
 
Ich glaube nicht... du kannst grob in zwei Stufen einteilen:

1) Beim Abwurf draußen: Lichtblitz, Druckwelle, Hitzewelle, Strahlung -> ziemlich sicher tot.
2) Danach: Die Krebsgefährdung ist Proportional zur Zeit, die du der Strahlung ausgesetzt bist. Da hilft es wenig zu warten, wie du mit obiger Rechnung schon rausgefunden hast...

Teile finden ihren Weg in die Atmosphäre, das ist richtig, aber das ist eher für die Personen in Windrichtung interessant...
 
Abgesehen davon, dass nach einer effektiven Kernwaffe kein Uran mehr vorhanden sien sollte, sondern nur noch deutlich schneller zerfallende Isotope von leichteren Elementen.

Weil die Strahlung von ein paar Kilo Uran auf mehrere km^2 verteilt, kannst du vernachlässigen. Eben weil es nur so langsam zerfällt. Das Problem wäre hier die Inkorporation und nicht die direkte Bestrahlung.
 
Ich hätte da auch mal ein Problem,

ich will eine art Referat über das Thema "HAARP" vorbereiten.

Mein Problem ist nur ich kenne mich kaum mit dem Thema aus.Was ich weiß ist das HAARP ( High frequency active auroral research program ) Forschungen in der Ionosphäre betreibt.Aber sie scheinen auch mehr damit anstellen zu können.Das was ich so gelesen habe sollen die mit diesen ELF-Strahlen auch die Umgebung beeinflussen können.Nur wie soll ich das alles interessant vortragen?Ich hab noch 2 Tage Zeit mich umzu entscheiden und zu einem dieser Themen zu wechseln : "Nibiru" oder "Hohlerde-Theorie".Beides ist etwas komisch und bietet nur wenig Informationen.Kann mir jemand helfen oder vllt zu etwas völlig anderem raten?
 
Es ist nicht wirklich ein Fach,eher eine art Projekt.Ich hab mich halt als freiwilliger dazu bereit gestellt.Ich hab auf bitte noch Wartezeit bekommen da vor mir noch 3 andere Vorträge sind.Ich hab mich auch umentschieden zu Nibiru.Was ich darüber weiß : Nibiru gilt als Gott und oder Planet.Nibiru soll an der Erde vorbei "fliegen" und durch seine Magnetische anziehungskraft das unserer Erde zerstören.Nibiru oder auch Planet X genannt soll in der Milchstraße sein aber wurde er nie gesichtet.Das ist ehrlich gesagt alles.
 
Mich würde auch mal interessieren, was das für ein Projekt ist, eine Sammlung der schwachsinnigsten Verschwörungstheorien?

Aber nun gut. Nibiru ist selbst erstmal nur eine mythologische Figur der Sumerer. Auf Grund verschiedener Keilschrifttafeln, auf denen Nibiru beschrieben wird, gehen die meisten Historiker davon aus, dass Nibiru ein Himmelsobjekt war. Himmelsobjekte mit Göttern oder Fabelwesen gleich zu setzen, ist ja in antiken Kulturen durchaus gängig, nicht umsonst sind unsere Planeten heute nach antiken Gottheiten benannt.
Die Tatsache, dass wir heute keinen Himmelskörper mehr mit Nibiru identifizieren können, hat zu einigen seltsamen Geschichten geführt. Nämlich, dass Nibiru ein Himmelskörper sei, der sich nur alle 3600 Jahre in das innere Sonnensystem wagt und sich ansonsten nur weit draußen irgendwo im Bereich des Kuipergürtels oder noch weiter draußen in der Oortschen Wolke tummelt. Vielen Verschwörungstheoretikern zu Folge soll dieses Objekt im Dezember diesen Jahres der Erde extrem nahe kommen und so eine globale Katastrophe auslösen.
Dass dieses Hirngespinst so nicht möglich ist, wird dabei natürlich übersehen, statt dessen führt man lieber Beweise für seine Existenz an. Sehr beliebt sind die angeblichen Bilder von Nibiru, die man machen kann, wenn man mit seiner Digicam die Sonne fotografiert, dann ist darauf nämlich ein zweites leuchtendes Objekt zu erkennen. Dieses Objekt ist aber nichts anderes als die Spiegelung der Sonne, die im Objektiv zurück auf die Linse und von dort ein zweites Mal auf den Fotochip geworfen wird. Ähnliche Effekte führten schon im 19.Jh. zur angeblichen Entdeckung eines Venusmondes. Andere Beweise stützen sich auf archäologische Funde, die nachweisen sollen, dass vor 3600 Jahren eine außerirdische Rasse hier zu Besuch war, die eigentlich auf einem natürlichen Satelliten Nibirus leben. Dabei werden gerne riesige Menschenknochen oder deformierte Schädel angeführt, ähnlich wie mit den Krsitallschädeln bei Indiana Jones, was diese Verschwörungstheoretiker wohl eindeutig mindestens einmal zu viel geguckt haben...
Daneben gibt es zahlreiche Beweise für die Nichtexistenz eines solchen Planeten. Zunächstmal geht man davon aus, dass Nibiru, so fern damit denn wirklich ein Himmelskörper gemeint war, was nicht unbedingt so sein muss, mit einem Kometen zu identifzieren sein dürfte, z.B. dem Halleyschen. Ähnlich wie auch bei den Erzählugen über Phaeton/Thiamat angenommen wird, dass dies ein Asteroid/Komet war, der an einem Himmelsobjekt, evtl. dem Mond zerschellte.
Weiterhin kann man die Nichtexistens Nibirus auch an Hand der Himmelsmechanik ableiten, denn jeder Himmelskörper unterliegt der Gravitation und damit den Kepplerschen Gesetzen, aus denen man folgern kann, dass wenn Nibiru tatsächlich mit den postulierten Eigenschaften existiere, schon seit einigen Jahren mit bloßem Auge am Nachthimmel erkennbar sein müsste, außerdem müsste seine Gravitation erheblichen Einfluss auf die Bahnen sämtlicher Himmelskörper im Sonnensystem haben, was nachweißlich nicht der Fall ist. Darüber hinaus müsste Nibiru, wenn er denn existiert, eine extrem exzentrische Bahn haben, unter Umständen sogar eine mit Periheleffekt. D.h. er müsste die Bahnen der anderen Planeten kreuzen, so dass es extrem unwahrscheinlich ist, dass es noch nie zu Kollisionen oder wenigstens starken Wechselwirkungen mit anderen Himmelskörpern kam.

Hier wird schön der ganze Blödsinn reproduziert:
http://www.raumbrueder.de/nibiru.htm
Und hier gut erklärt, warum das alles Non-Sense ist:
http://www.scienceblogs.de/astrodicticum-simplex/
 
Wow so eine ausführliche Antwort hätt ich nicht erwartet.Danke dafür.Das es zu den Verschwörungstheorien zählt wusst ich ehrlich gesagt nicht.
 
Ich hätte auch mal ein Problem 😉

Die Informationsübermittlung mit Überlichtgeschwindigkeit ist ja theoretisch unmöglich. Allerdings gibt es ja das Problem der verschränkten Photonen mit denen es ja prinzipiell möglich ist, den Status des zweiten Photons überlichtschnell zu verändern. Informationsübertragung ist so zwar nicht möglich, da die Information über die Statusänderung nur über einen klassischen Kanal ausgetauscht werden kann.

Nun aber folgende Überlegung: Wir haben zwei weit voneinander entfernte Stationen (weit im Sinne von Entfernungen im Weltall), von denen eine eine Information an die andere senden will und zwar einen Zeitpunkt. Das könnte zum Beispiel ein Notruf oder eine Warnung vor einem Strahlungssturm sein. Wichtig ist, dass sich die Nachricht mit einem Bit übermitteln lässt (z.B. 0 = kein Notfall, 1 = Notfall). Natürlich muss die Bedeutung des Bits vorher ausgemacht sein. Zwischen den beiden Stationen gibt es nun eine Quelle für verschränkte Photonen, die regelmäßig (z.B. alle paar µs) ein verschränktes Photonenpaar erzeugt und je eins der Photonen zu jeder Station sendet. Die Stationen messen nun die Polarisation der Photonen und zwar (vorher ausgemacht) in der gleichen Basis und gleicher Orientierung (z.B. beide senkrecht). Die sendende Station muss dabei natürlich zuerst messen. Dadurch wird die Polarisation des Photons der empfangenden Station auf waagrecht gedreht und nichts wird dort gemessen. Will die sendende Station nun ihr Bit abschicken, dreht sie ihre Polarisationsmeldung um und plötzlich kommt das Photon beim Empfänger durch und er misst es.

Natürlich könnte das auch bedeuten, dass der Sender zerstört ist, deswegen dreht auch der Empfänger seine Polarisation. Wenn er dann nichts mehr empfängt, kann er sicher sein, dass der Sender seine Polarisation gedreht hat. Beide Messungen werden natürlich oft genug wiederholt um mit Statistik Messfehler auszuschließen. Deswegen die großen Entfernungen, so können innerhalb der Zeit, die eine normale Lichtinformation braucht, viele Photonenpaare ankommen.

Mir ist natürlich klar, dass hier vor allem praktisch riesige Probleme warten, aber wo liegt mein theoretischer Denkfehler? Immerhin habe ich so theoretisch ein Bit (bzw. ein Timersignal) überlichtschnell übertragen. Liegt der Denkfehler vielleicht in der Definition der Information, mit Log(1) =0 oder so?
 
Und du glaubst wirklich, dass dir das hier jemand kompetent beantworten kann?

Ich bin mir nicht sicher, aber nach dem was ich die letzte halbe Stunde über Quantenteleportation gelesen habe, scheint das Problem zu sein, dass sich Bobs Photon in eine von vier zufälligen Stadien transformiert, sobald Alice ihres ändert. Damit Bob jetzt das richtige bekommt, muss er also von Alice erfahren, welche dieser drei. Oder so ähnlich. Ließ dir das am besten mal bei Wikipedia durch, du bist doch derjenige von uns, der mit seinem Physikstudium schon fertig ist :lol:
 
Ich hätte da auch mal ein Problem und zwar rechne ich gerade ein paar Mathematik I Abschlussprüfungen der Realschule, da ich bald auf die FOS Technik gehe und selbst im Fremdsprachenzweig der RS war. Ich mache das also um den Stoff zumindest einigermaßen nachzulernen.

Die Aufgabe heißt:
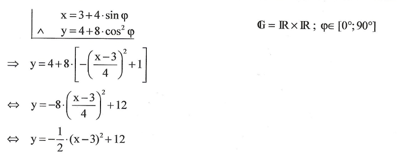
Zeigen Sie rechnerisch, dass die Parabel p mit der Gleichung y=-(1/2)*(x-3)²+12 (G=R x R) der Trägergraph der Punkte Qn ist.

Qn (3+4*sinφ|4+8*cos²φ)

In der Lösung steht dazu folgendes und ich werde daraus einfach nicht schlau:
1 001.jpg

Ich glaube, dass wir das nie gelernt haben, könnte allerdings auch sein, dass ich ein gewaltiges Brett vorm Kopf habe.^^ Wonach ich googeln sollte weiß ich nicht, deswegen frage ich hier. Wäre sehr nett, wenn mir das jemand erklären könnte.
 
Also die Formulierung kenne ich so auch nicht.

Was du hier hast ist eine normale Funktion y(x) (also deine Parabel) und eine parametrisierte Funktion. Bei so einer parametrisierten Funktion werden der x- und der y-Wert jeweils als eigene Funktion in Abhängigkeit eines weiteren Parameters angegeben. Hier also x(φ) und y(φ). Du sollst nun zeigen, dass beide die gleiche Kurve beschreiben.

Dazu musst du x(φ) nach φ auflösen und in y(φ) einsetzen. Wenn du das Ganze dann umrechnest, kommst du auf deine Parabel p und du hast gezeigt, dass beide identisch sind.

x = 3 + 4 sin(φ)
x - 3 = 4 sin(φ)
(x-3)/4 = sin(φ)

Jetzt kommt der schwierige Teil. Du quadrierst das Ganze:

((x-3)/4)² = sin²(φ)

Durch ein Additionstheorem "weißt" du, dass sin²(φ) + cos²(φ) = 1. Das formst du um zu sin²(φ) = 1 - cos²(φ) und setzt es auf der rechten Seite ein:

((x-3)/4)² = 1 - cos²(φ)
cos²(φ) = 1 - ((x-3)/4)²

Das kannst du jetzt in y(φ) einsetzen:

y = 4 + 8 cos²(φ)
y = 4 + 8 (1 - ((x-3)/4)²)
y = 4 + 8 - 8 ((x-3)²/16)
y = 12 - 1/2 * (x-3)²

QED.

Ansonsten muss ich sagen, dass ich diese Rechnung für Realschule extrem schwer finde. Additionstheoreme von trigonometrischen Funktionen sind nicht gerade häfig verwendet.